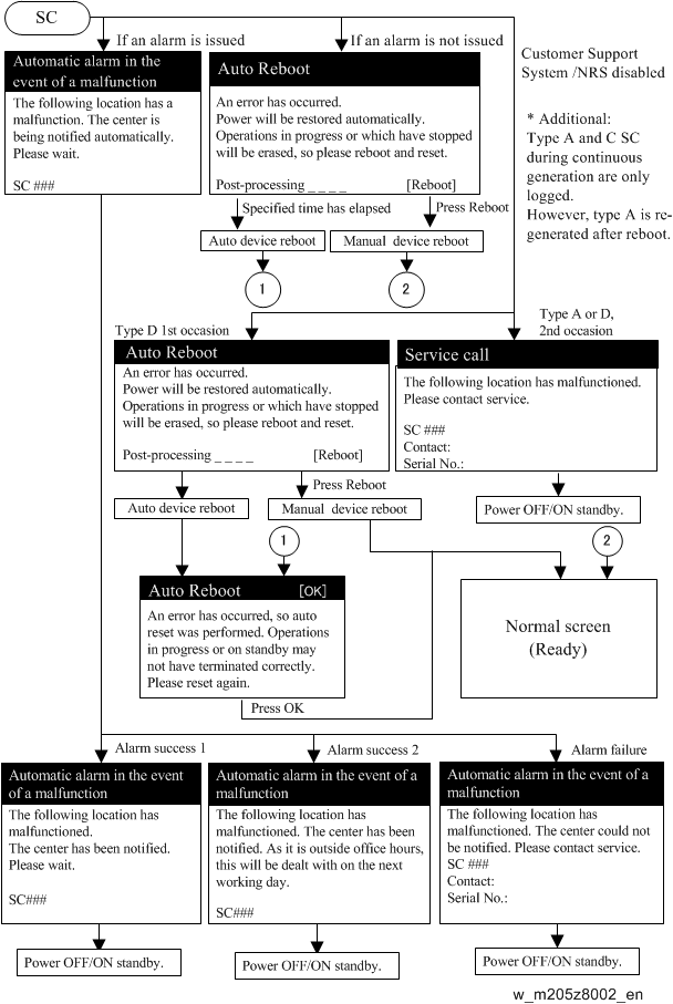
When an ordinary SC (pattern D) is generated, automatically reboot is performed. Automatic reboot or reboot by user operation can be set by SP5-875-001 (SC automatic reboot setting out) (default value: 0 "Automatic reboot").
When a type D occurs, the automatic reboot is done or the machine display asks the customer if it can reboot. However, when the SC occurs twice in a short time, the machine sends a report to the @Remote server without rebooting. This is because just rebooting may not be a good solution if an SC occurs twice.
When an automatic reboot is performed, a confirmation screen is displayed after reboot. The confirmation screen can be canceled by pressing the [OK] key (display is not canceled only when the main power switch is switched OFF to ON).
Screen display during reboot
- Status display on the current screen
- Post-processing ...... Post-processing during printing, etc.
- Automatic reboot .... After operation end
Post-processing
Until automatic reboot
- Reset key (Reboot key)
Key to perform the reboot
# Cancel key is not displayed. - Turn on spanner LED (same as when an SC is generated).
Operation during SC reboot
- The timing of SC reboot
When @Remote is enabled, and when an NRS alarm*1 is not generated, the corresponding SC is the object of an automatic reboot.*1 NRS alarm: Issued when an ordinary SC (type D) is generated twice while the total counter counts 10 times.
- Time to automatic reboot
Reboot is performed 30 seconds after an engine reboot is possible, after the end of post-processing during printing, etc.
At that time, a reboot is performed even if the machine is operating. The engine does not start process control when a reboot is possible. - Automatic reboot
See the flowchart below.
